频率变送器 型号:YWE-F

一、概述
本系列变送器是以单片机为核心,采用***新算法,实现交流电路频率的准确测量。在国内******产品中处于******水平。
二、产品名称及型号
频率变送器: 型号:YWD-F
频率变送器: 型号:YWE-F
三、执行标准
GB/T13850-1998idtIEC688:1992
四、主要技术指标
a) 精度等级: 0.2级;
b) 输入、输出、辅助电源及测量量程参数:
|
Vn
输入电压 |
V1
100V |
V2
220V |
V3
270V |
V4
380V |
V5
用户自定 |
|
Fn
频率量程 |
F1
45~55Hz |
F2
48~52Hz |
F3
40~60Hz |
F4
0~10kHz |
F5
用户自定 |
|
Pn
辅助电源 |
P1
DC 24V±10% |
P2
DC12V±10% |
P3
AC220V±10% |
Pn
用户自定 |
注:YWD系列辅助电源为:AC220、AC110或无源 |
|
On
输出规格 |
O1
0~5V |
O2
1~5V |
O3
0~20mA |
O4
4~20mA |
O5
0~10kHz |
On
用户自定 |
| |
|
|
|
|
|
|
|
|
|
|
|
|
|
|
c) 功 耗: ≤1W(24V时)
d) 过载输入: 2倍连续
e) 吸收功耗:≤0.22VA/220V
≤0.10VA/100V
f) 响应时间: ≤400s
g) 负载能力: 电流输出:≤750Ω(220V时),电压输出:≥2kΩ
h) 工频耐压: AC2kV/min×1mA
i) 绝缘强度: ≥100MΩ
j) 工作环境: 温度:-10~50℃,湿度:10~90%(无凝露)
k) 贮藏条件: 温度:-40~70℃,湿度:10~95%(无凝露)
l) 外型尺寸:
YWE-F: 42 mm×75 mm×70mm
YWD-F: 55 mm×75 mm×70mm
五、接线图
六、安装方式
采用DIN导轨和螺钉两种安装方式,导轨宽度35mm。螺钉大小为M3×12。
七、订货须知
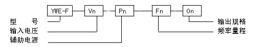
签定订货合同时应说明是否共地输出,并详细写明所需的型号、规格,对所选的型号、规格按下列格式将代号填入,特殊规格用文字说明。
例1:YWD-F-V1-P3-F1-O4
YWD-F频率变送器
输 入:AC 100V±30%
辅助电源:AC 220V
量 程:45~55Hz
输出规格:DC4~20mA
例2:YWE-F-V2-P2-F2-O1
YWE-F频率变送器
输 入:AC 220V±30%
辅助电源:DC 12V±10%
量 程:48Hz~52Hz
输出规格:DC 0~5V
八、注意事项
1、连接线须***用屏蔽线,且电源线、输入线和输出线须***分离。
2、使用环境应无导电尘埃和无腐蚀金属和破坏绝缘的气体存在,海拔高度小于2500米。
3、产品出厂时已调校好零点和精度,请勿随意调整。
九、安装尺寸(底部视图)
 |